
17. travnja 2026.
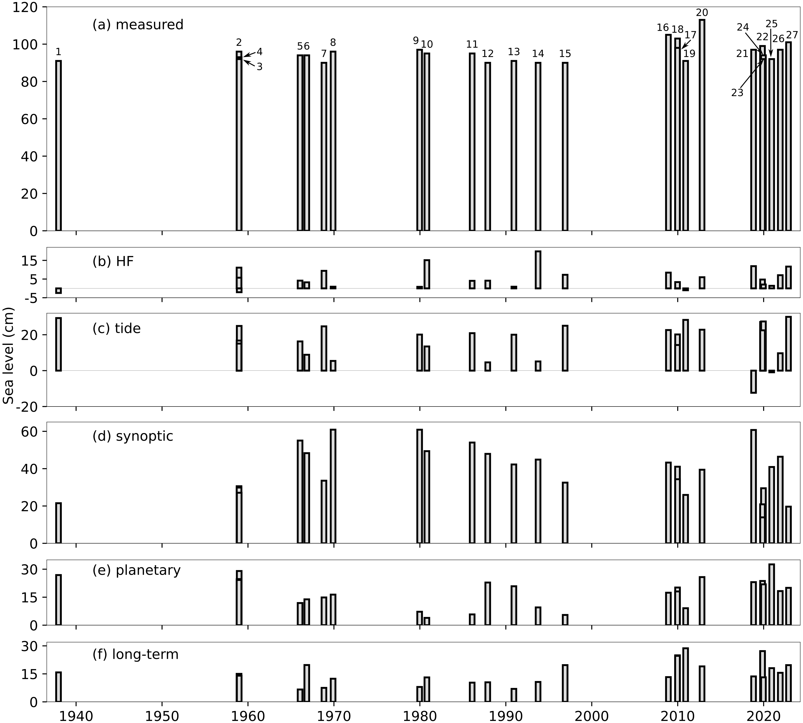
U međunarodnom časopisu Ocean Science (Clarivate JIF = 3.3, Q1) objavljen je znanstveni rad naslovljen Catalogue of extreme sea levels recorded at tide-gauge station Bakar in the northeastern Adriatic Sea (Mediterranean) u kojem je analizirano 27 poplava zabilježenih na istočnoj obali Jadrana tijekom gotovo posljednjih 100 godina, u razdoblju od 1929. do 2022. godine. Poplave su identificirane na temelju podataka o razini mora izmjerenih na mareografskoj postaji Bakar, kojom Geofizički zavod upravlja od 1929. godine. U ovom istraživanju i pripremi kataloga sudjelovali su dr. sc. Iva Međugorac i dr. sc. Iva Vrkić Seidl s Geofizičkog odsjeka PMF-a, te Karla Jambrošić iz Hrvatske kontrole zračne plovidbe i Domagoj Dolički s DHMZ-a koji su u istraživanju sudjelovali još kao studenti diplomskog studija Fizike – geofizike, zatim Josipa Kuzmić s DHMZ-a, izv. prof. dr. sc. Jadranka Šepić sa splitskog PMF-a i dr. sc. Goran Gašparac iz firme Amego d.o.o.
Članak je u otvorenom pristupu i možete ga pročitati na poveznici.
Za svaki poplavni događaj provedena je detaljna analiza meteorološke pozadine (na sinoptičkoj i planetarnoj skali) te su analizirane različite komponente razine mora: od visokofrekventnih procesa (primjerice seša s periodima od nekoliko sati) do procesa na dugim vremenskim skalama, poput multidekadske varijabilnosti i linearnog trenda porasta razine mora. Osim toga, za svaki događaj prikupljeni su podaci o relevantnim znanstvenim radovima te informacije o nastalim štetama duž cijele hrvatske obale Jadrana.
Kao dopuna znanstvenom radu izrađena je i internetska verzija kataloga, koja se redovito ažurira kako novi podaci postaju dostupni.
Koautorice ovog rada objavile su i zanimljiv post (na engleskom jeziku) na EGU blogu u kojem pojašnjavaju kako je nastao i katalog meteotsunamija – možete ga pročitati na https://blogs.egu.eu/divisions/nh/2026/01/05/hunting-for-historical-adriatic-meteotsunamis/.

Međugorac, I., Jambrošić, K., Dolički, D., Kuzmić, J., Šepić, J., Vrkić Seidl, I., and Gašparac, G.: Catalogue of extreme sea levels recorded at tide-gauge station Bakar in the northeastern Adriatic Sea (Mediterranean), Ocean Sci., 21, 2929–3001, https://doi.org/10.5194/os-21-2929-2025, 2025.